IfcBSplineCurve

Natural language names
deBézier-Spline-Kurve
enBSpline Curve
frCourbe Bspline
Semantic definitions at the entity
Entity definition

The IfcBSplineCurve is a spline curve parameterized by spline functions.

Figure 339 illustrates a B-spline curve.

NOTE  Figure quoted from ISO 10303-42.
control points

Figure 339 — B-spline curve

NOTE  Definition according to ISO/CD 10303-42:1992
A B-spline curve is a piecewise parametric polynomial or rational curve described in terms of control points and basis functions. The B-spline curve has been selected as the most stable format to represent all types of polynomial or rational parametric curves. With appropriate attribute values it is capable of representing single span or spline curves of explicit polynomial, rational, Bezier or B-spline type.

Interpretation of the data is as follows:
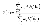
  1. All weights shall be positive and the curve is given by

    equation
    k+1 = number of control points
    Pi = control points
    wi = weights
    d = degree

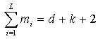
    The knot array is an array of (k+d+2) real numbers [u-d ... uk+1], such that for all indices j in [-d,k], uj <= uj+1. This array is obtained from the knot data list by repeating each multiple knot according to the multiplicity. N di, the ith normalized B-spline basis function of degree d, is defined on the subset [ui-d, ... , ui+1] of this array.

  2. Let L denote the number of distinct values among the d+k+2 knots in the knot array; L will be referred to as the 'upper index on knots'. Let mj denote the multiplicity (number of repetitions) of the jth distinct knot. Then

    equation

    All knot multiplicities except the first and the last shall be in the range 1 ... degree; the first and last may have a maximum value of degree + 1. In evaluating the basis functions, a knot u of e.g. multiplicity 3 is interpreted as a string u, u, u, in the knot array. The B-spline curve has 3 special subtypes (Note: only 1, Bezier curve, included in this IFC release) where the knots and knot multiplicities are derived to provide simple default capabilities.

  3. Logical flag is provided to indicate whether the curve self intersects or not.
NOTE  Entity adapted from b_spline_curve defined in ISO10303-42.
HISTORY  New entity in IFC2x2.
Attribute definitions
#AttributeTypeCardinalityDescription C
1DegreeIfcInteger[1:1] The algebraic degree of the basis functions.X
2ControlPointsListIfcCartesianPointL[2:?] The list of control points for the curve.X
3CurveFormIfcBSplineCurveForm[1:1] Used to identify particular types of curve; it is for information only.X
4ClosedCurveIfcLogical[1:1] Indication of whether the curve is closed; it is for information only.X
5SelfIntersectIfcLogical[1:1] Indication whether the curve self-intersects or not; it is for information only.X
UpperIndexOnControlPoints
:=(SIZEOF(ControlPointsList) - 1)
IfcInteger[1:1]The upper index on the array of control points; the lower index is 0. This value is derived from the control points list. X
ControlPoints
:=IfcListToArray(ControlPointsList,0,UpperIndexOnControlPoints)
IfcCartesianPointA[0:UpperIndexOnControlPoints]The array of control points used to define the geometry of the curve. This is derived from the list of control points. X
Formal Propositions
RuleDescription
SameDimAll control points shall have the same dimensionality.
Inherited definitions from supertypes
Entity inheritance IfcBSplineCurveWithKnots IfcBoundedCurve IfcCurve IfcGeometricRepresentationItem IfcRepresentationItem
Attribute inheritance
#AttributeTypeCardinalityDescriptionC
IfcRepresentationItem
LayerAssignmentIfcPresentationLayerAssignment
@AssignedItems
S[0:1]Assignment of the representation item to a single or multiple layer(s). The LayerAssignments can override a LayerAssignments of the IfcRepresentation it is used within the list of Items. X
StyledByItemIfcStyledItem
@Item
S[0:1]Reference to the IfcStyledItem that provides presentation information to the representation, e.g. a curve style, including colour and thickness to a geometric curve. X
IfcGeometricRepresentationItem
IfcCurve
Dim
:=IfcCurveDim(SELF)
IfcDimensionCount[1:1]The space dimensionality of this abstract class, defined differently for all subtypes, i.e. for IfcLine, IfcConic and IfcBoundedCurve. X
IfcBoundedCurve
IfcBSplineCurve
1DegreeIfcInteger[1:1] The algebraic degree of the basis functions.X
2ControlPointsListIfcCartesianPointL[2:?] The list of control points for the curve.X
3CurveFormIfcBSplineCurveForm[1:1] Used to identify particular types of curve; it is for information only.X
4ClosedCurveIfcLogical[1:1] Indication of whether the curve is closed; it is for information only.X
5SelfIntersectIfcLogical[1:1] Indication whether the curve self-intersects or not; it is for information only.X
UpperIndexOnControlPoints
:=(SIZEOF(ControlPointsList) - 1)
IfcInteger[1:1]The upper index on the array of control points; the lower index is 0. This value is derived from the control points list. X
ControlPoints
:=IfcListToArray(ControlPointsList,0,UpperIndexOnControlPoints)
IfcCartesianPointA[0:UpperIndexOnControlPoints]The array of control points used to define the geometry of the curve. This is derived from the list of control points. X
Formal representations
XSD Specification
 <xs:element name="IfcBSplineCurve" type="ifc:IfcBSplineCurve" abstract="true" substitutionGroup="ifc:IfcBoundedCurve" nillable="true"/>
 <xs:complexType name="IfcBSplineCurve" abstract="true">
  <xs:complexContent>
   <xs:extension base="ifc:IfcBoundedCurve">
    <xs:sequence>
     <xs:element name="ControlPointsList">
      <xs:complexType>
       <xs:sequence>
        <xs:element ref="ifc:IfcCartesianPoint" minOccurs="2" maxOccurs="unbounded"/>
       </xs:sequence>
       <xs:attribute ref="ifc:itemType" fixed="ifc:IfcCartesianPoint"/>
       <xs:attribute ref="ifc:cType" fixed="list"/>
       <xs:attribute ref="ifc:arraySize" use="optional"/>
      </xs:complexType>
     </xs:element>
    </xs:sequence>
    <xs:attribute name="Degree" type="ifc:IfcInteger" use="optional"/>
    <xs:attribute name="CurveForm" type="ifc:IfcBSplineCurveForm" use="optional"/>
    <xs:attribute name="ClosedCurve" type="ifc:IfcLogical" use="optional"/>
    <xs:attribute name="SelfIntersect" type="ifc:IfcLogical" use="optional"/>
   </xs:extension>
  </xs:complexContent>
 </xs:complexType>
EXPRESS Specification
ENTITY IfcBSplineCurve
 ABSTRACT SUPERTYPE OF(IfcBSplineCurveWithKnots)
 SUBTYPE OF (IfcBoundedCurve);
  Degree : IfcInteger;
  ControlPointsList : LIST [2:?] OF IfcCartesianPoint;
  CurveForm : IfcBSplineCurveForm;
  ClosedCurve : IfcLogical;
  SelfIntersect : IfcLogical;
 DERIVE
  UpperIndexOnControlPoints : IfcInteger := (SIZEOF(ControlPointsList) - 1);
  ControlPoints : ARRAY [0:UpperIndexOnControlPoints] OF IfcCartesianPoint := IfcListToArray(ControlPointsList,0,UpperIndexOnControlPoints);
 WHERE
  SameDim : SIZEOF(QUERY(Temp <* ControlPointsList | Temp.Dim <> ControlPointsList[1].Dim)) = 0;
END_ENTITY;

Link to EXPRESS-G diagram EXPRESS-G diagram

Link to this page  Link to this page